【導讀】現代的電池電壓為3~3.6V,這就要求電路能在低壓下高效工作。本設計提出的一種交流耦合儀表放大器,具有很大的共模抑制比(CMRR)、很寬的直流輸入電壓容限以及一階高通特性。這些特性大多是由高增益 級設計提供的。電路采用普通參數值和普通容限的元件。圖1a示出簡化的放大器電路。該電路的一般原理是電容器C和電阻器R3對輸入信號進行緩沖和交流耦合。
現代的電池電壓為3~3.6V,這就要求電路能在低壓下高效工作。本設計提出的一種交流耦合儀表放大器,具有很大的共模抑制比(CMRR)、很寬的直流輸入電壓容限以及一階高通特性。這些特性大多是由高增益 級設計提供的。電路采用普通參數值和普通容限的元件。圖1a示出簡化的放大器電路。該電路的一般原理是電容器C和電阻器R3對輸入信號進行緩沖和交流耦合。第二級由兩個差動放大器AD組成。每個差動放大器放大差動輸入信號的一半。求和運算可以得到求VOUT的如下公式:

在圖1a中, VA、VB、VC和VD是兩個差動放大器的輸入電壓,AD是增益。時間常數2R3C決定高通的截止頻率。圖1b示出了詳細的電路。 輸入級由運算放大器A1、A2、A3和A4組成。A1和A2是主要的增益級。因為A1和A2的反相輸入端和非反相輸入端的電位相同,所以A1和A2的輸入電壓都供給電阻器R3。緩沖器A3和A4與電阻器R2一起,可使R3的電流放大1+R3/R2倍,因為R2和R3都連接到相等的電位。這種電路結構是本設計的 。電容器C上的電壓沒有交流分量,而A1和A2各放大差動輸入交流信號的一半。C濾除出現在A3和A4輸出端的輸入直流分量。第二級是一個增益為1的、四個輸入加法器—減法器級。它能實現上述的公式,式中的AD等于1+R1/(R2||R1) 。假定R3》》R2, AD=1+R1/R2。

圖1 電容器C對簡化的放大器電路(a)進行交流去耦;詳細的電路(b)采用幾個增益級和一個加法器—減法器級。
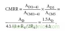
第二級的另一種可能的實現方法是采用兩個差動通道ADC,產生一個數字化的VOUT,供微處理器處理。如果使用一個±5V的電源,則就有可能利用一塊芯片上的兩個差動放大器,如INA2134來獲得VOUT。你可以計算出共態(tài)抑制比的最小值:

式中AD(1-4) 分別是放大器A1到A4的差動增益,ACM(1-4) 分別是這四個放大器的共模增益,AD5是放大器A5的差動增益,ACM5則是A5的共模增益。Δ是電路中電阻器R4的容限。一個非常重要的參數是運算放大器的輸入失調電壓,對于A3和A4來說尤其是這樣。A1和A2的失調電壓不會引起差錯,因為它們只增加輸入信號的直流分量,而電容器C則將這些直流分量去掉。
由運算放大器失調電壓引起的 輸出電壓誤差為:

式中,V10MAX為相應運算放大器的 失調電壓。在選擇運算放大器時,你應該注意以下兩點:A3、A4和A5應為低失調電壓和高共模抑制比(CMRR)的運放,而A1和A2應具有很高的開環(huán)增益、共模抑制比(CMRR)和增益帶寬乘積。圖2示出了一種實用的放大器電路。電源是一塊3V鋰電池。你可以選用幾種運算放大器,如MCP607系列或OPA2336系列。由于輸入共模電壓范圍的緣故,你要把信號地電位調到電源電壓的三分之一。二極管D1能防止電路閉鎖。R7-C4網絡在輸入端濾除射頻噪音。 你可以根據下述的考慮因素推導R7-C4網絡的參數:如果R7C4=(R1||R2||R3)C2~R2C2,則放大器傳遞函數中的高頻零就會消去:


該電路具有以下的優(yōu)點:
● 級確??傇鲆妫瑥亩诘诙壊徊捎酶?nbsp; 電阻器的情況下也可提供高共模抑制比(CMRR);
● 只要把確定低頻的RC網絡連接到兩個放大輸入信號的運算放大器的反相輸入端,該電路就不需要另外的輸入緩沖器;
● 該電路利用具有普通參數值和容限的無源元件就可提供標準的一階高通特性;
● 采用3V電源,差動輸入信號范圍可高達2V;
● 該電路消耗的電源電流和功率都很小,分別為120μA和0.4mW左右。
免責聲明:本文為轉載文章,轉載此文目的在于傳遞更多信息,版權歸原作者所有。本文所用視頻、圖片、文字如涉及作品版權問題,請電話或者郵箱聯系小編進行處理。



